深圳市伊俐信科技有限公司
消防產品,認證,檢測,技術,管理,咨詢服務中心
消防產品,認證,檢測,技術,管理,咨詢服務中心
2024-09-26 09:45:06 責任編輯:深圳市伊俐信科技有限公司 瀏覽:0
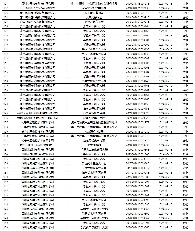
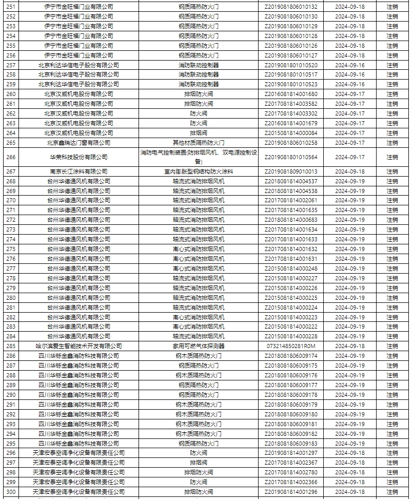
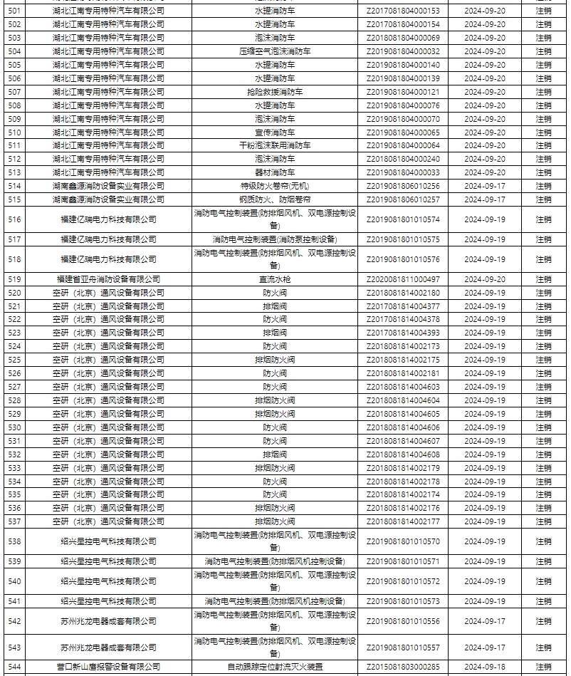
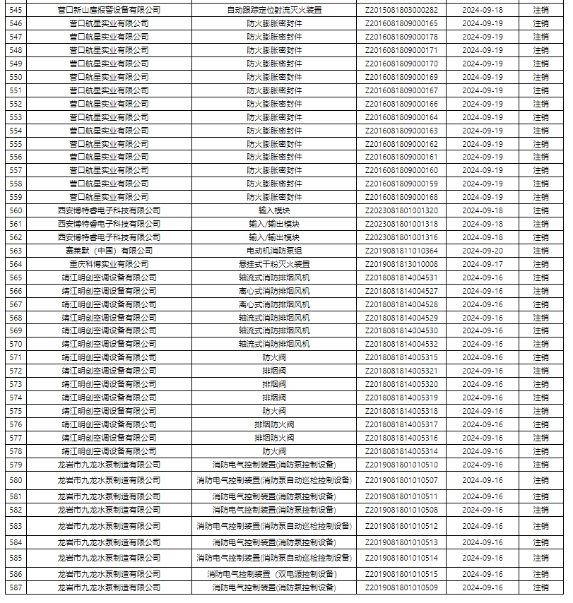
應急管理部消防產品合格評定中心一周認證結果公示
各有關單位:
按照《關于強化消防產品認證信息“公開、透明”工作的公告》的要求,現公布本中心本周認證結果。
如有任何問題,歡迎致電我中心業(yè)務處室(聯系方式點擊此處),郵箱:cccf@263.net。












全國統(tǒng)一服務熱線
139 2463 7548
郵箱 :591053467@qq.com
總部地址:深圳市光明區(qū)鳳凰街道南太云創(chuàng)谷產業(yè)中心3棟6樓